Free Access

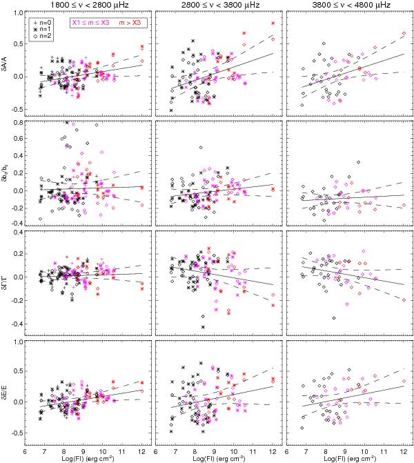
Fig. 13

thumbnail

Frequency averages of the fractional difference in mode amplitude, background power, mode width, and mode energy of flaring ARs, from top to bottom, as a function of flare-activity index. Mode parameters are corrected for foreshortening, duty cycle and magnetic-activity. Red and magenta symbols correspond to ARs flare(s) of magnitude (m) > X3 and X1 ≤ m ≤ X3, respectively. The solid lines show the linear regression, and the dashed curves correspond to the 95% confidence level of the linear fit. (This figure is available in color in electronic form.)

Current usage metrics show cumulative count of Article Views (full-text article views including HTML views, PDF and ePub downloads, according to the available data) and Abstracts Views on Vision4Press platform.

Data correspond to usage on the plateform after 2015. The current usage metrics is available 48-96 hours after online publication and is updated daily on week days.

Initial download of the metrics may take a while.