Free Access

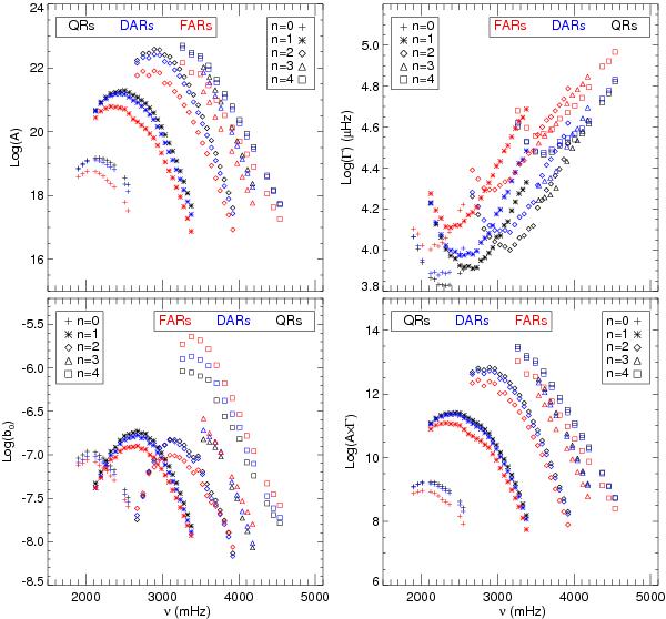
Fig. 7

thumbnail

Average common mode-parameters in QRs (black), dormant ARs (DARs; blue), and flaring ARs (FARs; red) for different radial orders as a function of mode frequency. Note that mode parameters are corrected for foreshortening and duty cycle before averaging. (This figure is available in color in electronic form.)

Current usage metrics show cumulative count of Article Views (full-text article views including HTML views, PDF and ePub downloads, according to the available data) and Abstracts Views on Vision4Press platform.

Data correspond to usage on the plateform after 2015. The current usage metrics is available 48-96 hours after online publication and is updated daily on week days.

Initial download of the metrics may take a while.