Free Access

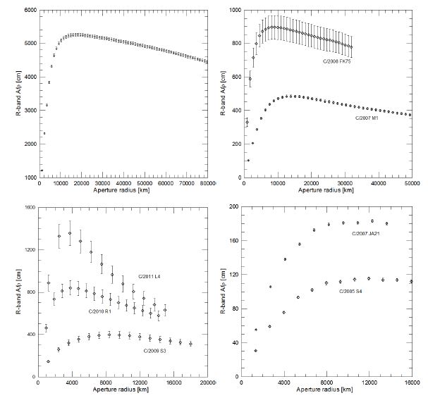
Fig. 4

thumbnail

R-band Afρ trend versus cometocentric distance measured for target comets. Top left: comet C/2005 L3; top right: comets C/2007 M1 and C/2008 FK75; bottom left: comets C/2009 S3, C/2010 R1 and C/2001 L4; bottom right: comets C/2005 S4 and C/2007 JA21.

This figure is made of several images, please see below:

Current usage metrics show cumulative count of Article Views (full-text article views including HTML views, PDF and ePub downloads, according to the available data) and Abstracts Views on Vision4Press platform.

Data correspond to usage on the plateform after 2015. The current usage metrics is available 48-96 hours after online publication and is updated daily on week days.

Initial download of the metrics may take a while.