Free Access

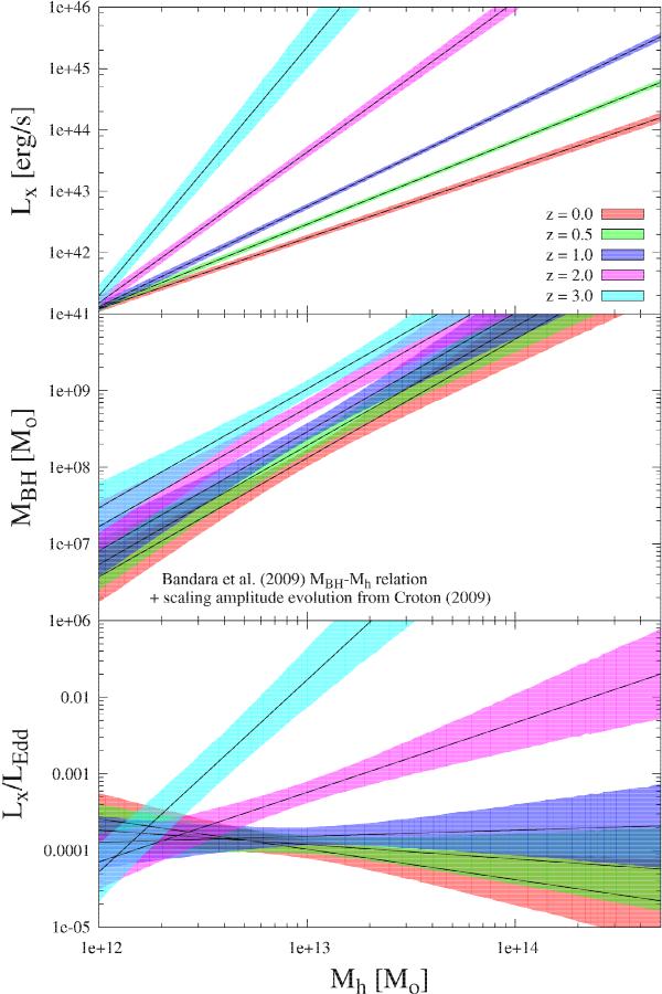
Fig. 6

thumbnail

Upper panel: average LX − Mh relations (Eq. (1)) along with 1σ uncertainties for five different redshifts as given in the legend. Middle panel: amplitude-adjusted MBH − Mh scaling relation with 1σ uncertainty from Bandara et al. (2009). Lower panel: Eddington ratios in 2 − 10 keV band for five redshifts arising from LX − Mh and MBH − Mh relations given in the upper two panels.

Current usage metrics show cumulative count of Article Views (full-text article views including HTML views, PDF and ePub downloads, according to the available data) and Abstracts Views on Vision4Press platform.

Data correspond to usage on the plateform after 2015. The current usage metrics is available 48-96 hours after online publication and is updated daily on week days.

Initial download of the metrics may take a while.