Free Access

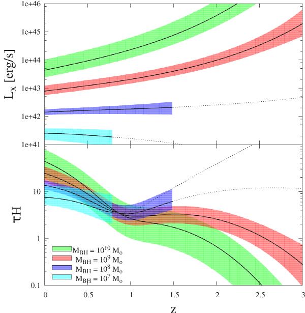
Fig. 7

thumbnail

The hard band X-ray luminosities (upper panel) and SMBH e-folding times in units of the Hubble time (lower panel) for various black hole masses as shown in the legend. For the low mass SMBHs at higher redshifts, where they are too faint to be constrained by the observational data, we have shown the extrapolations of the model curves with dotted lines and have omitted the corresponding 1σ uncertainty bands.

Current usage metrics show cumulative count of Article Views (full-text article views including HTML views, PDF and ePub downloads, according to the available data) and Abstracts Views on Vision4Press platform.

Data correspond to usage on the plateform after 2015. The current usage metrics is available 48-96 hours after online publication and is updated daily on week days.

Initial download of the metrics may take a while.