Free Access

Fig. 8

thumbnail

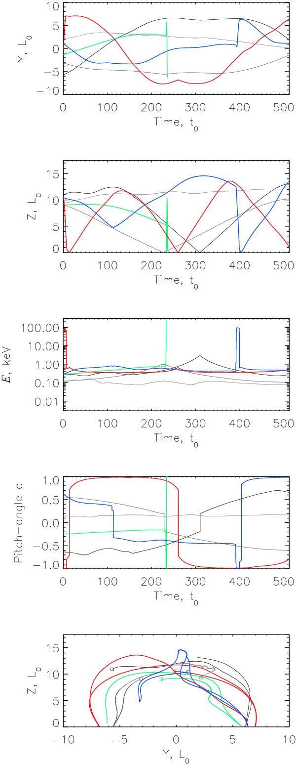
Typical proton trajectories, their energies and pitch-angles. Particles are injected with thermal energies at the locations denoted by squares on the lower panel. Blue, green, and red lines denote particles, which are non-thermal at some point, while grey lines denote particles, which remain thermal throughout simulations. See text for more details.

Current usage metrics show cumulative count of Article Views (full-text article views including HTML views, PDF and ePub downloads, according to the available data) and Abstracts Views on Vision4Press platform.

Data correspond to usage on the plateform after 2015. The current usage metrics is available 48-96 hours after online publication and is updated daily on week days.

Initial download of the metrics may take a while.