Free Access

Fig. 5

thumbnail

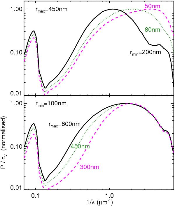
Influence of the upper, r+, and lower, r, limit of the particle radii of aligned silicates on the spectral shape of the dichroic polarisation. Shown are prolates with a/b = 2 and q = 3.5. Top: r+ is held constant at 450 nm and polarisation spectra are computed for r = 50, 80, and 200 nm that give rise to a maximum polarisation of p/τV = 2.1%, 1.6%, and 0.8%, respectively. Bottom: lower limit of r = 100 nm and varying r+ = 300, 450, and 600 nm that produce a maximum polarisation of p/τV = 1.7%, 1.4%, and 1.2%, respectively.

Current usage metrics show cumulative count of Article Views (full-text article views including HTML views, PDF and ePub downloads, according to the available data) and Abstracts Views on Vision4Press platform.

Data correspond to usage on the plateform after 2015. The current usage metrics is available 48-96 hours after online publication and is updated daily on week days.

Initial download of the metrics may take a while.