Free Access

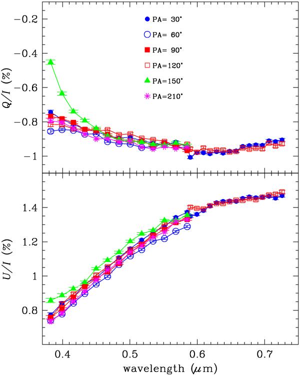
Fig. 8

thumbnail

Linear polarisation spectra of HD 37061 that are corrected for instrumental contribution at various PAs as labelled. Stokes parameters Q/I (top) and U (bottom) are measured having the celestial meridian passing through the target as a reference direction.

Current usage metrics show cumulative count of Article Views (full-text article views including HTML views, PDF and ePub downloads, according to the available data) and Abstracts Views on Vision4Press platform.

Data correspond to usage on the plateform after 2015. The current usage metrics is available 48-96 hours after online publication and is updated daily on week days.

Initial download of the metrics may take a while.