Free Access

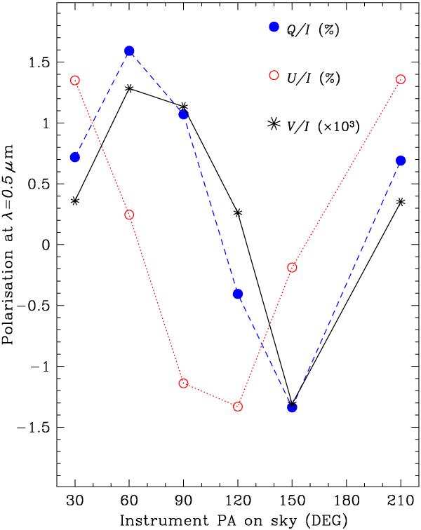
Fig. 9

thumbnail

Polarisation at λ = 500 nm of HD 37061 at various instrument position angles. Q/I (dashed blue line) and U/I (dotted red line) are measured in the instrument reference system. The circular polarisation (solid black line) is approximately one tenth of the linear polarisation in the principal plane of the Wollaston prism.

Current usage metrics show cumulative count of Article Views (full-text article views including HTML views, PDF and ePub downloads, according to the available data) and Abstracts Views on Vision4Press platform.

Data correspond to usage on the plateform after 2015. The current usage metrics is available 48-96 hours after online publication and is updated daily on week days.

Initial download of the metrics may take a while.