Free Access

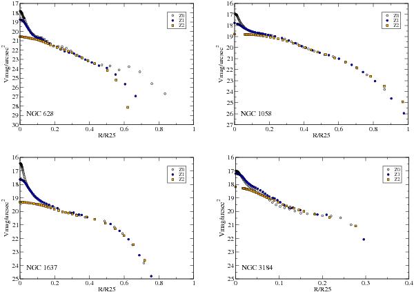
Fig. 3

thumbnail

Surface brightness profiles of the original PINGS galaxies and the simulated ones, constructed fitting ellipses to V-band images extracted from the datacubes. The profiles were scaled in the y-axis to make them coincide at Rmax/2 (maximum measured radius divided by 2).

This figure is made of several images, please see below:

Current usage metrics show cumulative count of Article Views (full-text article views including HTML views, PDF and ePub downloads, according to the available data) and Abstracts Views on Vision4Press platform.

Data correspond to usage on the plateform after 2015. The current usage metrics is available 48-96 hours after online publication and is updated daily on week days.

Initial download of the metrics may take a while.