Free Access

Fig. 6

thumbnail

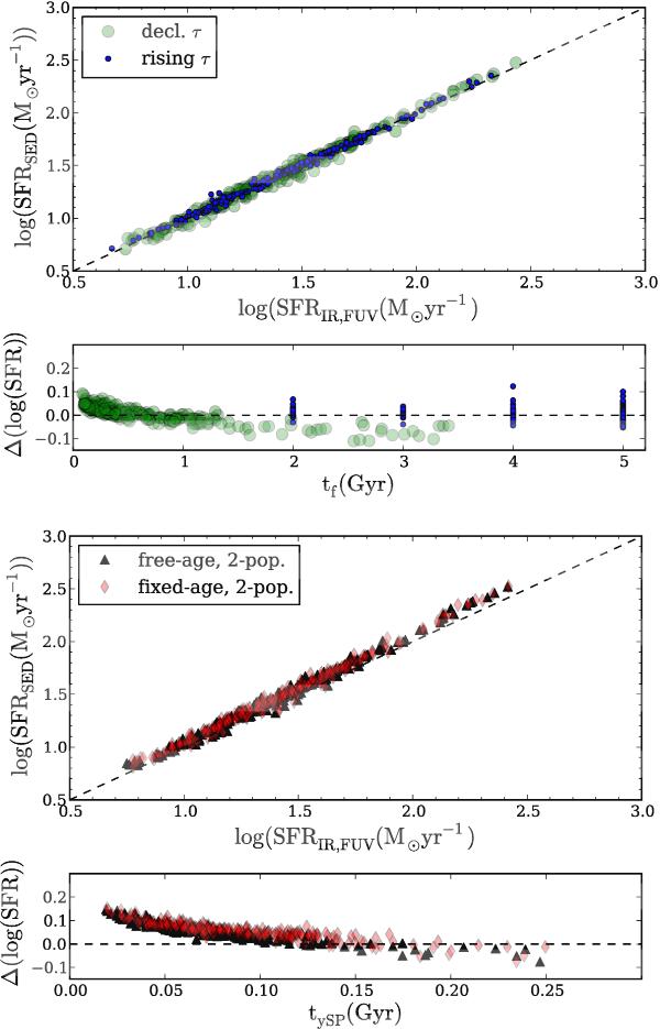
Comparison between SFRIR,FUV (x-axis) and SFRSED (y-axis): the two upper panels are for τ-models, the two lower panels for the two-populations model, the difference between SFRSED and SFRIR,FUV is plotted against the age of the (youngest) stellar population. Symbols are the same as in Fig. 3.

This figure is made of several images, please see below:

Current usage metrics show cumulative count of Article Views (full-text article views including HTML views, PDF and ePub downloads, according to the available data) and Abstracts Views on Vision4Press platform.

Data correspond to usage on the plateform after 2015. The current usage metrics is available 48-96 hours after online publication and is updated daily on week days.

Initial download of the metrics may take a while.