Free Access

Fig. D.1

thumbnail

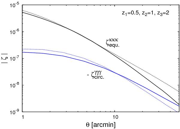
Convergence and shear three point correlations and , as a function of the angular scale θ, for the redshift triplet z1 = 0.5,z2 = 1,z3 = 2. We show the predictions from the model of Valageas et al. (2012a,b) (solid lines) and from the hierarchical ansatz (18) (dotted lines). Because is negative we plot .

Current usage metrics show cumulative count of Article Views (full-text article views including HTML views, PDF and ePub downloads, according to the available data) and Abstracts Views on Vision4Press platform.

Data correspond to usage on the plateform after 2015. The current usage metrics is available 48-96 hours after online publication and is updated daily on week days.

Initial download of the metrics may take a while.