Free Access

Fig. 2

thumbnail

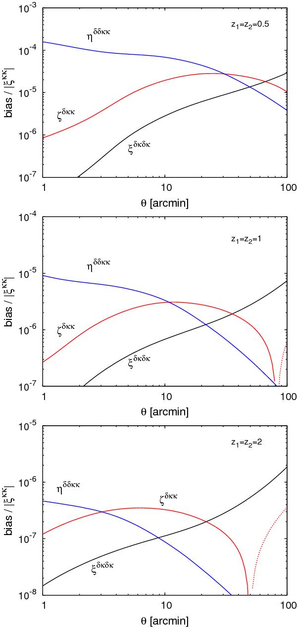
Relative source-lens clustering bias of the weak lensing convergence two-point correlation ξκκ, as a function of the angular scale θ, for the three pairs of coincident source redshifts z1 = z2 = 0.5, 1, and 2, from top to bottom. In each panel, we show the ratios ξδκδκ / | ξκκ | (lower black line), ζδκκ / | ξκκ | (middle red line), and ηδδκκ / | ξκκ | (upper blue line). The spike for ζδκκ is due to a change of sign and this contribution to the bias is negative at large angles (in all figures in this paper, a positive/negative bias is shown by a solid/dotted line).

Current usage metrics show cumulative count of Article Views (full-text article views including HTML views, PDF and ePub downloads, according to the available data) and Abstracts Views on Vision4Press platform.

Data correspond to usage on the plateform after 2015. The current usage metrics is available 48-96 hours after online publication and is updated daily on week days.

Initial download of the metrics may take a while.