Free Access

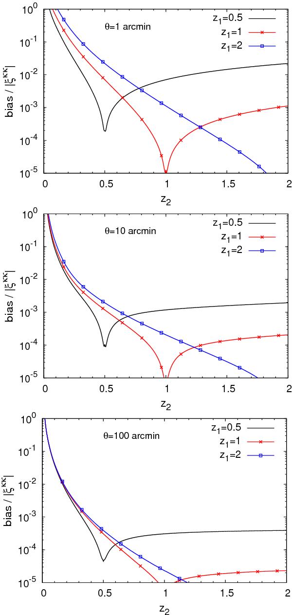
Fig. 4

thumbnail

Relative source-lens clustering bias of the weak lensing convergence two-point correlation, (ξδκδκ + ζδκκ + ηδδκκ) / | ξκκ |, as a function of the second galaxy redshift z2, for a fixed first galaxy redshift z1 = 0.5,1, or 2. We consider the angular scales θ = 1, 10, and 100 arcmin, from the upper to the lower panels. All total biases are positive.

Current usage metrics show cumulative count of Article Views (full-text article views including HTML views, PDF and ePub downloads, according to the available data) and Abstracts Views on Vision4Press platform.

Data correspond to usage on the plateform after 2015. The current usage metrics is available 48-96 hours after online publication and is updated daily on week days.

Initial download of the metrics may take a while.