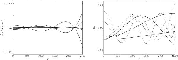
Fig. 2
Left panel: retaining the first three out of six
Planck 217 GHz beam eigenmodes allows to reduce the relative
truncation error of all convolution kernels to the order
.
Right panel: we compare the eigenmodes used in the convolution
(solid lines) to the discarded modes (dotted lines). Results in this plot have been
obtained from a SVD, i.e. using kernel weights

Current usage metrics show cumulative count of Article Views (full-text article views including HTML views, PDF and ePub downloads, according to the available data) and Abstracts Views on Vision4Press platform.
Data correspond to usage on the plateform after 2015. The current usage metrics is available 48-96 hours after online publication and is updated daily on week days.
Initial download of the metrics may take a while.