Free Access

Fig. 1

thumbnail

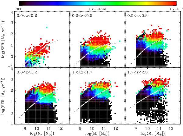
Type of SFR indicator used in each SFR− M bin. Red colours correspond to SFR− M bins in which all galaxies have a FIR (i.e., PACS/SPIRE) detection, i.e., galaxies of the first step of the “ladder of SFR indicator”. Green colours correspond to SFR− M bins in which galaxies are not detected in the FIR but are detected in the mid-infrared, i.e., galaxies of the second step of the “ladder of SFR indicator”. Black colours correspond to SFR− M bins in which galaxies are only detected in the optical/near-infrared, i.e., galaxies of the third step of the “ladder of SFR indicator”. Short-dashed lines on a white background show the MS of star formation (see Sect. 2.7).

Current usage metrics show cumulative count of Article Views (full-text article views including HTML views, PDF and ePub downloads, according to the available data) and Abstracts Views on Vision4Press platform.

Data correspond to usage on the plateform after 2015. The current usage metrics is available 48-96 hours after online publication and is updated daily on week days.

Initial download of the metrics may take a while.