Free Access

Fig. 8

thumbnail

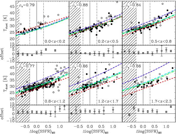
Dust temperature of galaxies as a function of Δlog (SSFR)MS, as derived from our stacking analysis. Empty circles show results for SFR–M bins with low stellar masses, i.e., M < 1010.5, 1010.7, 1010.7, 1010.8, 1010.8 and 1010.9 M in our 0 < z < 0.2, 0.2 < z < 0.5, 0.5 < z < 0.8, 0.8 < z < 1.2, 1.2 < z < 1.7 and 1.7 < z < 2.3 bins, respectively. Filled circles show results for SFR–M bins with high stellar masses. In each panel, we give the Spearman correlation factor derived from our data points. Dashed red lines correspond to a linear fit to the data points of the 0.2 < z < 0.5 redshift bin. Triple-dot-dashed green lines represent predictions inferred from the variations of the SFE with Δlog (SSFR)MS and variations of the metallicity with redshift (see Eqs. (10) and (11)). Long-dashed light blue lines represent predictions inferred from the variations of the SFE with Δlog (SSFR)MS and variations of the normalisation of the SFE-Δlog (SSFR)MS relation with redshift (see Eqs. (10) and (13)). Dot-dashed dark blue lines represent predictions inferred from the variations of the SFE with Δlog (SSFR)MS, and variations with redshift of the normalisation of the SFE–Δlog (SSFR)MS relation and of the metallicity (see Eqs. (10) and (14)). Hatched areas represented the regions of parameter space affected by incompleteness (see text and Fig. 5). Vertical solid and dot-dashed lines show the localisation and width of the MS of star formation. The lower panel of each redshift bin shows the offset between the median dust temperature of our data points and the red dashed line, in bins of 0.2 dex.

Current usage metrics show cumulative count of Article Views (full-text article views including HTML views, PDF and ePub downloads, according to the available data) and Abstracts Views on Vision4Press platform.

Data correspond to usage on the plateform after 2015. The current usage metrics is available 48-96 hours after online publication and is updated daily on week days.

Initial download of the metrics may take a while.