Free Access

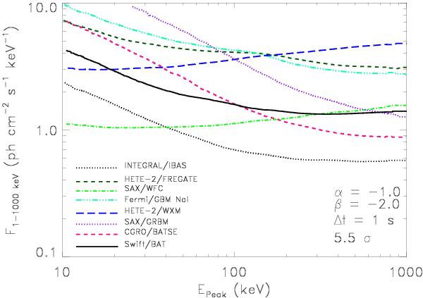
Fig. 1

thumbnail

Sensitivity of past and present GRB experiments as a function of the GRB peak energy. For Fermi/GBM NaI detectors, BeppoSAX/WFC, BeppoSAX/GRBM, HETE-2/Fregate, HETE-2/ WXM, and CGRO/BATSE LAD detectors the data are taken from Band (2003); for Swift/BAT the data are taken from Band (2006); for INTEGRAL/IBAS the data are taken from the IBAS web site4.

Current usage metrics show cumulative count of Article Views (full-text article views including HTML views, PDF and ePub downloads, according to the available data) and Abstracts Views on Vision4Press platform.

Data correspond to usage on the plateform after 2015. The current usage metrics is available 48-96 hours after online publication and is updated daily on week days.

Initial download of the metrics may take a while.