Free Access

Fig. 2

thumbnail

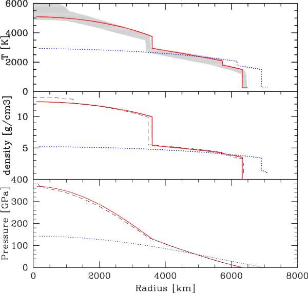
Temperature, density, and pressure (top, middle, bottom panels) as a function of radius for two models. Solid red lines: 1  M planet with Tsurf = 300 K, Psurf = 1 bar, without ocean, and quasi-solar composition (see text). Dotted blue lines: the same planet, but corresponding to the overall maximum models (iron free, inner mantle made of MgO, outer mantle made of Mg2Si2O6, with maximum ocean depth). In the middle and bottom panels, the black dashed lines indicate the preliminary reference Earth model of Dziewonski & Anderson (1981). Note that no temperature is given in this model. Instead, the grey area reproduces the likely temperature of Earth as mentioned in Sotin et al. (2007).

Current usage metrics show cumulative count of Article Views (full-text article views including HTML views, PDF and ePub downloads, according to the available data) and Abstracts Views on Vision4Press platform.

Data correspond to usage on the plateform after 2015. The current usage metrics is available 48-96 hours after online publication and is updated daily on week days.

Initial download of the metrics may take a while.