Free Access

Fig. 9

thumbnail

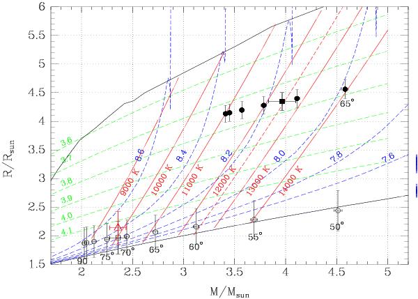
Mass-radius diagram. Filled and open circles are the position of the primary and secondary star for different orbital inclinations, decreasing from 90° with a step of 5°. Squares correspond to the solution with orbital inclination i = 72 deg and the open triangle to the secondary configuration with log   g = 4.15. Various theoretical sequences have been plotted for comparison: isochrones (dashed blue lines, labeled with log(age)), zero-age, and terminal-age main sequences (black), isotherms (red), and iso-gravity curves (green, labeled with log   g).

Current usage metrics show cumulative count of Article Views (full-text article views including HTML views, PDF and ePub downloads, according to the available data) and Abstracts Views on Vision4Press platform.

Data correspond to usage on the plateform after 2015. The current usage metrics is available 48-96 hours after online publication and is updated daily on week days.

Initial download of the metrics may take a while.