Free Access

Fig. 1

thumbnail

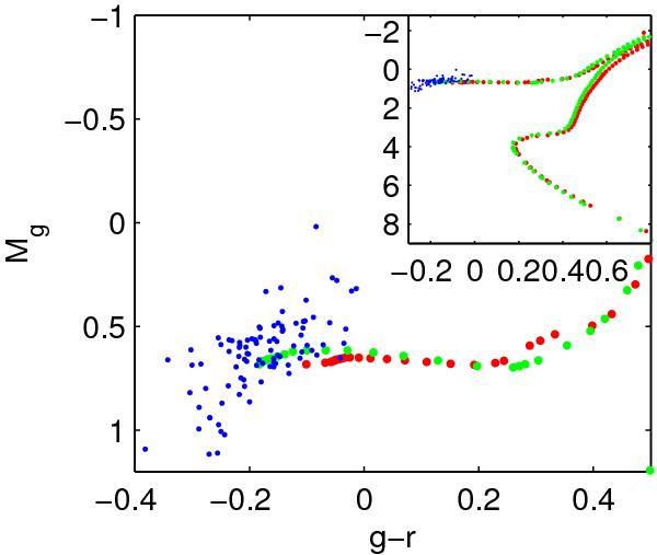
The 94 dereddened BHB stars and two typical isochrones in the color vs. absolute magnitude plane. The blue points are the BHB stars, the green curve is the isochrone with metallicity of − 2.28 dex and age of 13.5 Gyrs. And the red curve is another isochrone with metallicity − 2.0 at the same age. Both isochrones are obtained from Girardi et al. (2010).

Current usage metrics show cumulative count of Article Views (full-text article views including HTML views, PDF and ePub downloads, according to the available data) and Abstracts Views on Vision4Press platform.

Data correspond to usage on the plateform after 2015. The current usage metrics is available 48-96 hours after online publication and is updated daily on week days.

Initial download of the metrics may take a while.