Free Access

Fig. 2

thumbnail

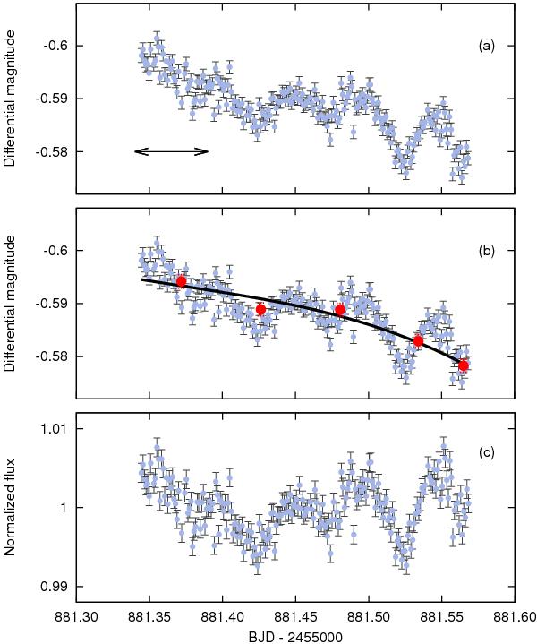
Our normalization procedure: a) Differential light curve in magnitudes, obtained using the STELLA telescope and the Strömgren v filter. The length of the arrow indicates the width of the time-bins. b) Thick red points: the binned time, flux, and photometric error. Continuous black line: third-degree polynomial fitted to the binned data points. c) Normalized light curve in flux units.

Current usage metrics show cumulative count of Article Views (full-text article views including HTML views, PDF and ePub downloads, according to the available data) and Abstracts Views on Vision4Press platform.

Data correspond to usage on the plateform after 2015. The current usage metrics is available 48-96 hours after online publication and is updated daily on week days.

Initial download of the metrics may take a while.