Press Release
Free Access

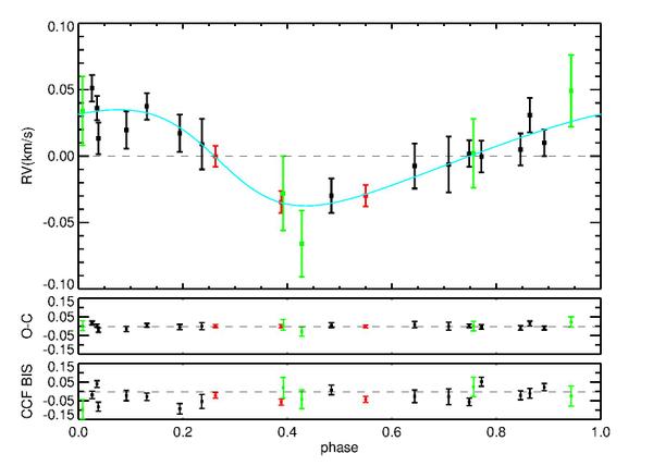
Fig. 1

thumbnail

Top: Lomb-Scargle periodogram for YBP1194. The dashed lines correspond to 5% and 1% false-alarm probabilities, calculated according to Horne & Baliunas (1986) and white noise simulations. Bottom: phased RV measurements and Keplerian best fit, best-fit residuals, and bisector variation for YBP1194. Black dots: HARPS measurements, red dots: SOPHIE measurements, green dots: HRS measurements.

This figure is made of several images, please see below:

Current usage metrics show cumulative count of Article Views (full-text article views including HTML views, PDF and ePub downloads, according to the available data) and Abstracts Views on Vision4Press platform.

Data correspond to usage on the plateform after 2015. The current usage metrics is available 48-96 hours after online publication and is updated daily on week days.

Initial download of the metrics may take a while.