Free Access

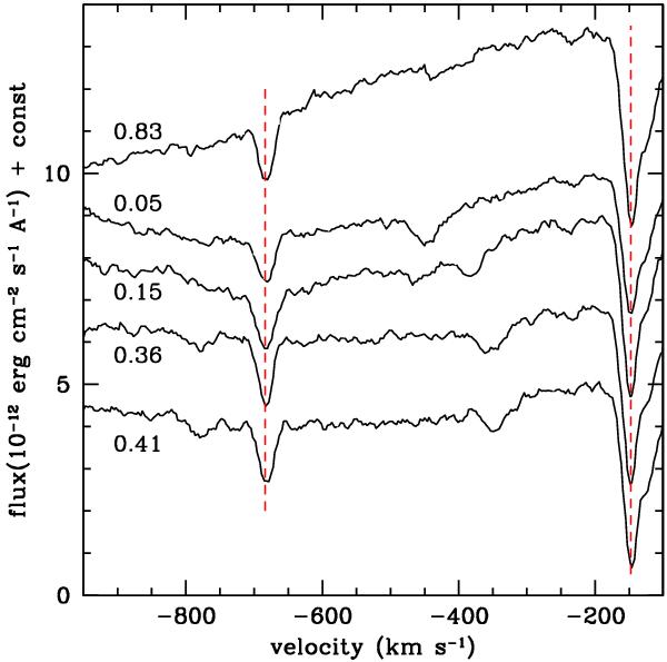
Fig. 5

thumbnail

Si IV 1393 Å component formed in material that is approaching the observer at 684 km s-1 in the five HST spectra obtained in 1999 covering the 19.3 d binary orbital cycle. Its stability over this timescale indicates that it is formed in circumbinary material, contrary to other absorption features that undergo velocity shifts from one orbital phase to another. Orbital phases are indicated and time of observation increases downward.

Current usage metrics show cumulative count of Article Views (full-text article views including HTML views, PDF and ePub downloads, according to the available data) and Abstracts Views on Vision4Press platform.

Data correspond to usage on the plateform after 2015. The current usage metrics is available 48-96 hours after online publication and is updated daily on week days.

Initial download of the metrics may take a while.