Free Access

Fig. 1

thumbnail

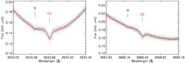
Ca II reference spectrum of HD 172555 (red line) in the Ca II K and H lines (left and right panels, respectively). All of the 129 spectra are represented by tiny black dots. The position of the interstellar (IS) and circumstellar (CS) absorptions are identified by vertical ticks. Wavelengths are expressed in the heliocentric rest frame.

This figure is made of several images, please see below:

Current usage metrics show cumulative count of Article Views (full-text article views including HTML views, PDF and ePub downloads, according to the available data) and Abstracts Views on Vision4Press platform.

Data correspond to usage on the plateform after 2015. The current usage metrics is available 48-96 hours after online publication and is updated daily on week days.

Initial download of the metrics may take a while.