Free Access

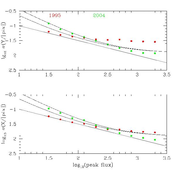
Fig. 1

thumbnail

The rms residuals of the pixels positions in x (bottom) and y (top) from the proper motion fits in one of our fields, Field 4-7 WF2. The solid lines are the best theoretical fit for an error estimation based on photon noise alone (bottom line) and for photon noise including additional systematic source of errors for each epoch (top two lines). This plot shows that the dominant source of error for the fainter undithered first epoch (red) is photon noise, while for brighter sources a residual systematic error appears that we relate to saturation due to the long exposures. Second-epoch dithered exposures (green) are best represented by a systematic error that has been included in the estimation of the proper motion error.

Current usage metrics show cumulative count of Article Views (full-text article views including HTML views, PDF and ePub downloads, according to the available data) and Abstracts Views on Vision4Press platform.

Data correspond to usage on the plateform after 2015. The current usage metrics is available 48-96 hours after online publication and is updated daily on week days.

Initial download of the metrics may take a while.