Free Access

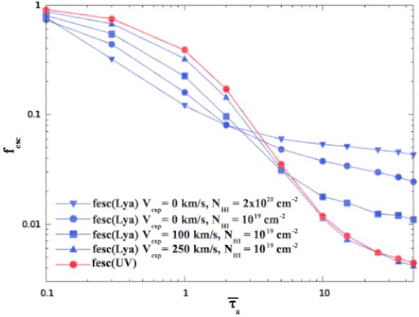
Fig. 10

thumbnail

Lyα (blue lines) and UV (red line) escape fractions as a function of the dust optical depth in the high-contrast regime, for various values of expansion velocity vexp and hydrogen column density . The extremely clumpy media have FF = 0.23, CF = 0.997 (Rmin = 49 and Rmax = 64 cells), nic/nc = 0.00 and b = 40 km s-1 in common. We adopt as well the following expansion velocities vexp and H i column densities : vexp = 0, 100, and 250 km s-1 and = 1019 cm-2 and 2 × 1020 cm-2. We indicate the critical dust optical depth τc where the curve of fesc(Lyα) for vexp = 0 km s-1 cross the curve of fesc(UV).

Current usage metrics show cumulative count of Article Views (full-text article views including HTML views, PDF and ePub downloads, according to the available data) and Abstracts Views on Vision4Press platform.

Data correspond to usage on the plateform after 2015. The current usage metrics is available 48-96 hours after online publication and is updated daily on week days.

Initial download of the metrics may take a while.