Free Access

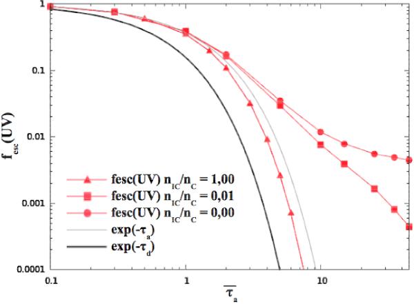
Fig. 4

thumbnail

Evolution of the UV escape fraction fesc(UV) as a function of the dust optical depth () in three different shell geometries: a homogeneous shell (nIC/nC = 1.00), a weakly clumpy shell (nIC/nC = 0.01) and an extremely clumpy shell (nIC/nC = 0.00). The clumpy media are defined with FF = 0.23 and CF = 0.997 (Rmin = 49 and Rmax = 64 cells). For comparison we also plot the curves for and fesc = exp(−τd), which respectively describe the upper and the lower limit of the continuum escape fraction in homogeneous media.

Current usage metrics show cumulative count of Article Views (full-text article views including HTML views, PDF and ePub downloads, according to the available data) and Abstracts Views on Vision4Press platform.

Data correspond to usage on the plateform after 2015. The current usage metrics is available 48-96 hours after online publication and is updated daily on week days.

Initial download of the metrics may take a while.