Free Access

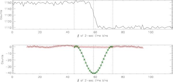
Fig. 3

thumbnail

Top: averaged window for 10 days for the Crab. Bottom: filtered data with the central portion fit to a polynomial (green stars), and the outer background portion fit to a spline function (red triangles). (A color version of this figure is available in the online journal.)

Current usage metrics show cumulative count of Article Views (full-text article views including HTML views, PDF and ePub downloads, according to the available data) and Abstracts Views on Vision4Press platform.

Data correspond to usage on the plateform after 2015. The current usage metrics is available 48-96 hours after online publication and is updated daily on week days.

Initial download of the metrics may take a while.