Free Access

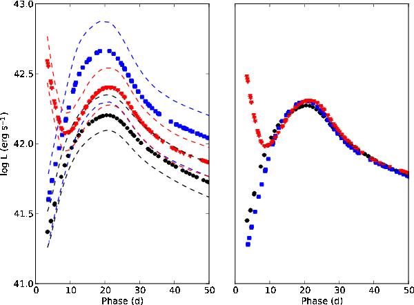
Fig. 15

thumbnail

Pseudo-bolometric U to K lightcurve for SN 2011dh (black circles) as compared to SNe 1993J (red triangles) and 2008ax (blue squares) for the adopted extinctions (left panel) and for a revised scenario where we have set E(B − V)T to 0.14, 0.09 and 0.27 mag for SNe 2011dh, 1993J and 2008ax respectively (right panel). In the left panel we also show the systematic error arising from the distance and extinction (dashed lines).

Current usage metrics show cumulative count of Article Views (full-text article views including HTML views, PDF and ePub downloads, according to the available data) and Abstracts Views on Vision4Press platform.

Data correspond to usage on the plateform after 2015. The current usage metrics is available 48-96 hours after online publication and is updated daily on week days.

Initial download of the metrics may take a while.