Free Access

Fig. 20

thumbnail

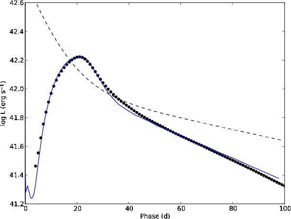
Revised B12 He4 model bolometric lightcurve with the 56Ni mass increased to 0.075 M (blue solid line) compared to the pseudo-bolometric UV to MIR lightcurve for SN 2011dh calculated with the spectroscopic method (black dots). For comparison we also show the total γ-ray luminosity corresponding to this amount of 56Ni (black dashed line).

Current usage metrics show cumulative count of Article Views (full-text article views including HTML views, PDF and ePub downloads, according to the available data) and Abstracts Views on Vision4Press platform.

Data correspond to usage on the plateform after 2015. The current usage metrics is available 48-96 hours after online publication and is updated daily on week days.

Initial download of the metrics may take a while.