Free Access

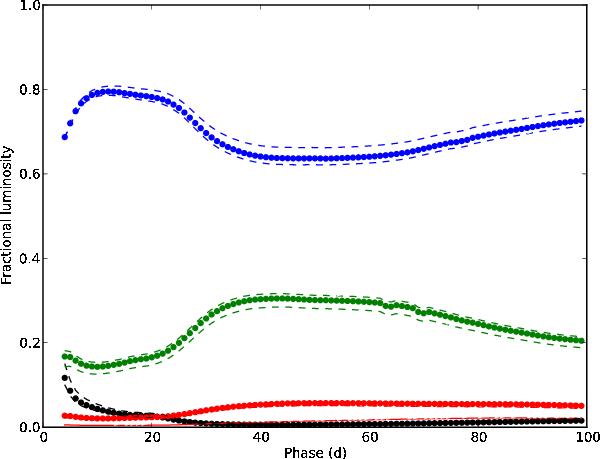
Fig. 9

thumbnail

Fractional UV (black dots), optical (blue dots), NIR (green dots) and MIR (red dots) luminosity for SN 2011dh. The upper and lower error bars for the systematic error arising from extinction (dashed lines) and the fractional Rayleigh-Jeans luminosity redwards of 4.5 μm (red solid line) are also shown. The early MIR and late UV photometry was extrapolated assuming constant colour.

Current usage metrics show cumulative count of Article Views (full-text article views including HTML views, PDF and ePub downloads, according to the available data) and Abstracts Views on Vision4Press platform.

Data correspond to usage on the plateform after 2015. The current usage metrics is available 48-96 hours after online publication and is updated daily on week days.

Initial download of the metrics may take a while.