Highlight
Free Access

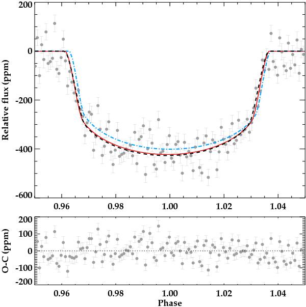
Fig. 6

thumbnail

Best-fit solutions for the transit fitting according to different model schemes: assuming parameters from Tenenbaum et al. (2012) (dot-dashed blue line), assuming zero eccentricity (dashed black line), and leaving the eccentricity as a free parameter (solid red line). Residuals for the fixed e = 0 model are presented in the lower panel.

Current usage metrics show cumulative count of Article Views (full-text article views including HTML views, PDF and ePub downloads, according to the available data) and Abstracts Views on Vision4Press platform.

Data correspond to usage on the plateform after 2015. The current usage metrics is available 48-96 hours after online publication and is updated daily on week days.

Initial download of the metrics may take a while.