Free Access

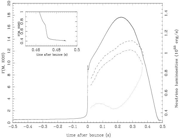
Fig. 6

thumbnail

Time evolution of Γ(M,EOS) for the core PNSs with 2.184 M resulting from a core-collapse simulation with a 40 M progenitor (left label, solid line). The νe, anti-νe, and νμ/τ luminosities (right label) are indicated by dashed, dashed-dotted, and dotted lines, respectively. For the sake of clarity, neutrino luminosities are plotted only after the bounce. The attached figure at the upper-left corner shows in more detail the behaviour of Γ(M,EOS) near the onset of formation of a black-hole (asterisk).

Current usage metrics show cumulative count of Article Views (full-text article views including HTML views, PDF and ePub downloads, according to the available data) and Abstracts Views on Vision4Press platform.

Data correspond to usage on the plateform after 2015. The current usage metrics is available 48-96 hours after online publication and is updated daily on week days.

Initial download of the metrics may take a while.