Free Access

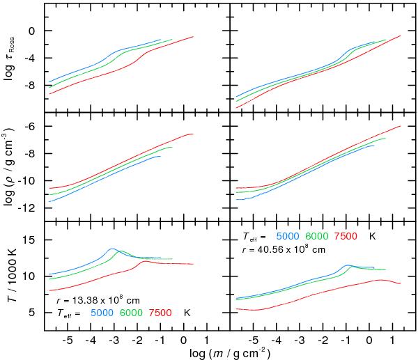
Fig. 3

thumbnail

Vertical structure of an inner disk ring (left panels) at radius r = 13.38    ×    108   cm and an outer disk ring (right) at r = 40.56    ×    108   cm during quiescence at different effective temperatures for the accretion disk. Shown are the temperature T (bottom panel), the density ρ (middle), and the Rosseland optical depth τross (top).

Current usage metrics show cumulative count of Article Views (full-text article views including HTML views, PDF and ePub downloads, according to the available data) and Abstracts Views on Vision4Press platform.

Data correspond to usage on the plateform after 2015. The current usage metrics is available 48-96 hours after online publication and is updated daily on week days.

Initial download of the metrics may take a while.