Free Access

Fig. B.1

thumbnail

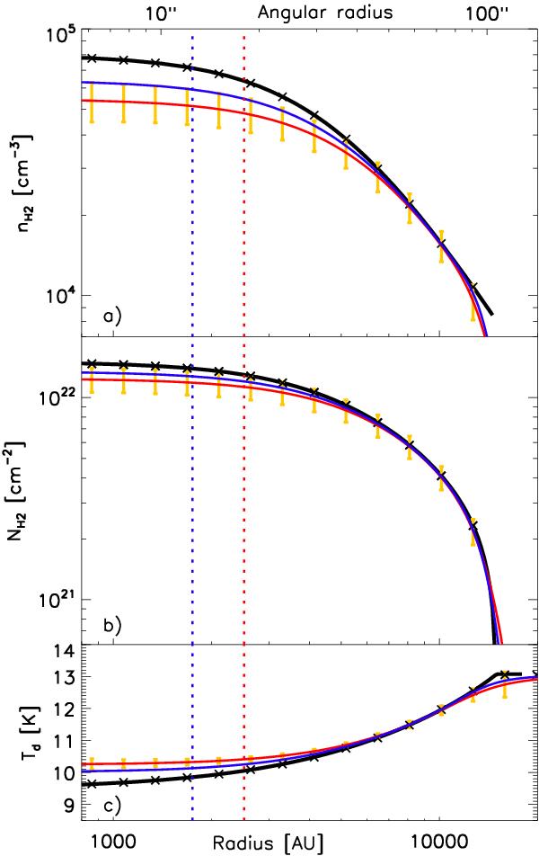
Comparison between intrinsic (black curves) and reconstructed (red and blue curves) volume density a), column density b), and dust temperature c) profiles for a spherically symmetric core model with a Plummer-like density distribution (see Eq. (B.1) and text for model parameters). The cross symbols show the results obtained by applying the Abel reconstruction scheme on the synthetic 160–500 μm intensity profiles with “infinite” resolution. The red and blue curves show the reconstruction results obtained from synthetic emission maps smoothed to HPBW resolutions of 363 and 249, respectively, corresponding to the resolutions of Herschel 500 μm and 350 μm observations. Note the good agreement between the reconstructed profiles and the intrinsic profiles beyond the the half power beam radius of 363/2 (500 μm resolution) or 249/2 (350 μm resolution), as marked by the red and blue vertical dotted lines, respectively. The error bars in each panel show the 1σ uncertainties due to random noise and calibration errors.

Current usage metrics show cumulative count of Article Views (full-text article views including HTML views, PDF and ePub downloads, according to the available data) and Abstracts Views on Vision4Press platform.

Data correspond to usage on the plateform after 2015. The current usage metrics is available 48-96 hours after online publication and is updated daily on week days.

Initial download of the metrics may take a while.