Free Access

Fig. 2

thumbnail

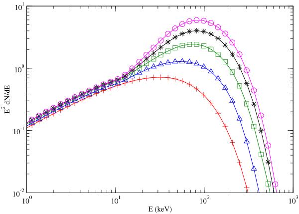
Angle-averaged emergent spectrum in E2dN/dE form, with arbitrary units, as a function of energy E in keV. The spectrum of the input photons (normalized to unity) is bremsstrahlung (crosses). The various curves are the results of different values of the transverse Thomson optical depth τ:1 (triagles), 3 (squares), 5 (stars), and 7 (circles). The rest of the parameters are at their reference values.

Current usage metrics show cumulative count of Article Views (full-text article views including HTML views, PDF and ePub downloads, according to the available data) and Abstracts Views on Vision4Press platform.

Data correspond to usage on the plateform after 2015. The current usage metrics is available 48-96 hours after online publication and is updated daily on week days.

Initial download of the metrics may take a while.