Free Access

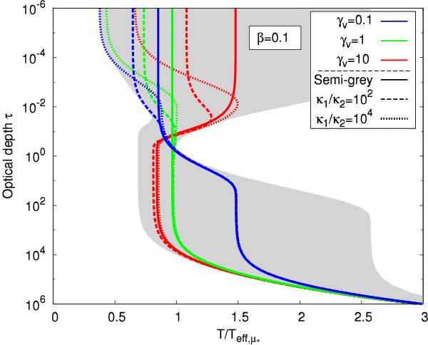
Fig. 12

thumbnail

Pressure/temperature profiles for an irradiated planet (Tint = Tirr/10 and μ = 1/). The shaded area shows the full range of parameters 10-3 < β < 10-1, 1 < R < 104 and 0.01 < γv < 100. The lines are profiles obtained for β = 0.1; for R = 1 (plain lines), R = 100 (dashed lines), and R = 104 (dotted lines); and for γv = 0.1 (blue), γv = 1 (green), and γv = 10 (red).

Current usage metrics show cumulative count of Article Views (full-text article views including HTML views, PDF and ePub downloads, according to the available data) and Abstracts Views on Vision4Press platform.

Data correspond to usage on the plateform after 2015. The current usage metrics is available 48-96 hours after online publication and is updated daily on week days.

Initial download of the metrics may take a while.