Free Access

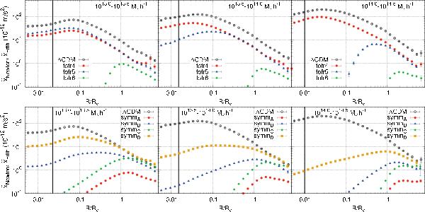
Fig. 2

thumbnail

Additional acceleration due to the presence of a scalar field in the f(R) (top) and symmetron (bottom) models as a function of radius for three different mass bins. Also, the pure Newtonian gravitational force is included from the ΛCDM data set (black, unfilled circles) as a comparison. The vertical line approximately corresponds to two grid cells in the finest refinement level. See text for details.

This figure is made of several images, please see below:

Current usage metrics show cumulative count of Article Views (full-text article views including HTML views, PDF and ePub downloads, according to the available data) and Abstracts Views on Vision4Press platform.

Data correspond to usage on the plateform after 2015. The current usage metrics is available 48-96 hours after online publication and is updated daily on week days.

Initial download of the metrics may take a while.