Free Access

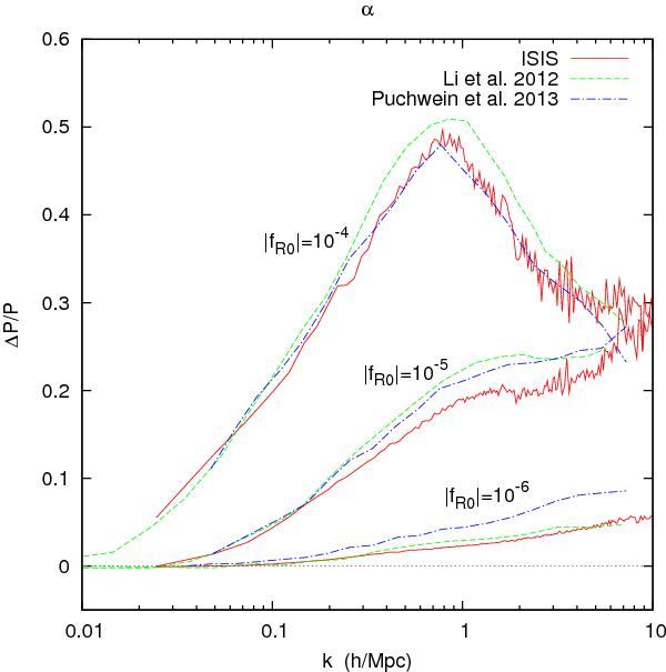
Fig. 4

thumbnail

Relative difference in the f(R) power spectrum with respect to ΛCDM for our code (red) and similar implementations published in Li et al. (2012) and Puchwein et al. (2013). Different sets of curves correspond to different values of fR0.

Current usage metrics show cumulative count of Article Views (full-text article views including HTML views, PDF and ePub downloads, according to the available data) and Abstracts Views on Vision4Press platform.

Data correspond to usage on the plateform after 2015. The current usage metrics is available 48-96 hours after online publication and is updated daily on week days.

Initial download of the metrics may take a while.