Free Access

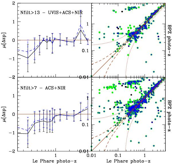
Fig. 14

thumbnail

Comparison between Le Phare and BPZ photo-z in MACS1206 field for galaxies with S/N > 10 in F814W and stellarity lower than 0.08. Figures on the left show the mean value of the as a function of for ACS+NIR and UVIS+ACS+NIR photometry respectively bottom and top panels. The blue and black lines are respectively Le Phare and BPZ photo-z. The error bars are the rms between Le Phare and BPZ photo-z. Right panels show the Le Phare vs. BPZ photo-z. The green and blue dots show a selection of respectively BPZ χ2 and Le Phare pdz_best 85% highest confidence redshifts. The dashed and dotted lines represent respectively 2%(1 + z) and 15%(1 + z).

Current usage metrics show cumulative count of Article Views (full-text article views including HTML views, PDF and ePub downloads, according to the available data) and Abstracts Views on Vision4Press platform.

Data correspond to usage on the plateform after 2015. The current usage metrics is available 48-96 hours after online publication and is updated daily on week days.

Initial download of the metrics may take a while.