Free Access

Fig. 7

thumbnail

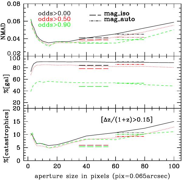
Top panel: photo-z scatter, middle panel: percentage of galaxies selected and bottom panel: percentage of catastrophic outliers for various choices of photometric apertures, using the full spec-z sample. The solid black, dotted red, long-dashed green lines show the results at pdz_best cut of 0, 0.5, 0.9. The optimal fixed aperture size is around 10–30 pixels. Isophotal photometry (long-dashed lines) performs close to equally well this range of fixed apertures. Automated Kron apertures (dash-dotted lines) are not competitive.

Current usage metrics show cumulative count of Article Views (full-text article views including HTML views, PDF and ePub downloads, according to the available data) and Abstracts Views on Vision4Press platform.

Data correspond to usage on the plateform after 2015. The current usage metrics is available 48-96 hours after online publication and is updated daily on week days.

Initial download of the metrics may take a while.