Free Access

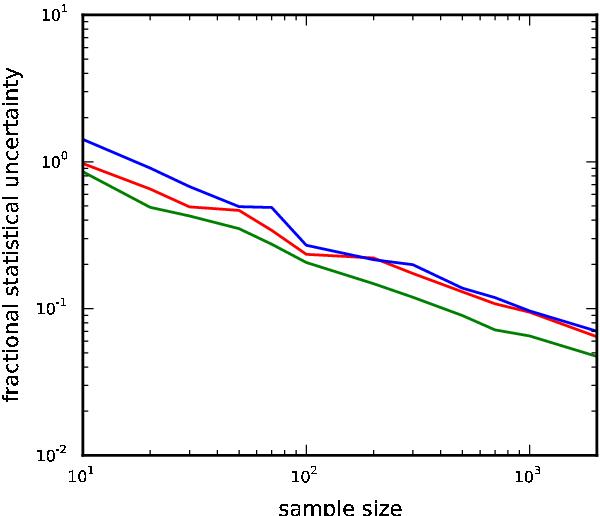
Fig. 5

thumbnail

One-sigma statistical uncertainties due to small-number statistics in the fitted velocity dispersion as a function of the sample size N for single-epoch observations of a cluster with a velocity dispersion of 5 km   s-1. The colors indicate the set of orbital parameter distributions used to generate the data and assumed for the fit: blue line for Sana et al. (2012); green line for Sana et al. (2013); red line for Kiminki & Kobulnicky (2012). The color-coding is the same as in Fig. 4. The statistical uncertainties are given relative to the input velocity dispersion of 5 km   s-1. Every point in this graph represents the average statistical uncertainty (as measured by the MCMC) in 60 Monte Carlo simulations, except for sample sizes smaller than or equal to 30, where 200 Monte Carlo simulations were averaged.

Current usage metrics show cumulative count of Article Views (full-text article views including HTML views, PDF and ePub downloads, according to the available data) and Abstracts Views on Vision4Press platform.

Data correspond to usage on the plateform after 2015. The current usage metrics is available 48-96 hours after online publication and is updated daily on week days.

Initial download of the metrics may take a while.