Free Access

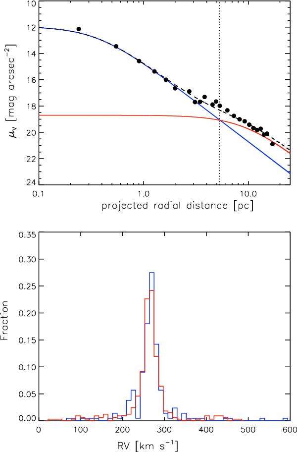
Fig. 8

thumbnail

Top: two-component EFF fit to the surface brightness profile of R136 as in Mackey & Gilmore (2003). The data points shown are Mackey and Gilmore’s recalibrated surface brightnesses from McLaughlin & van der Marel (2005). Stars that are farther out than ~5 pc (marked by the dotted line) from the cluster center are more likely to be part of the OB association. Within this radius stars are more likely to belong to the R136 cluster itself. Bottom: normalized histograms showing the velocity distribution of the 32 stars within 5 pc in blue (211 velocities), and the 49 stars between 5 and 10 pc in red (327 velocities).

Current usage metrics show cumulative count of Article Views (full-text article views including HTML views, PDF and ePub downloads, according to the available data) and Abstracts Views on Vision4Press platform.

Data correspond to usage on the plateform after 2015. The current usage metrics is available 48-96 hours after online publication and is updated daily on week days.

Initial download of the metrics may take a while.