Free Access

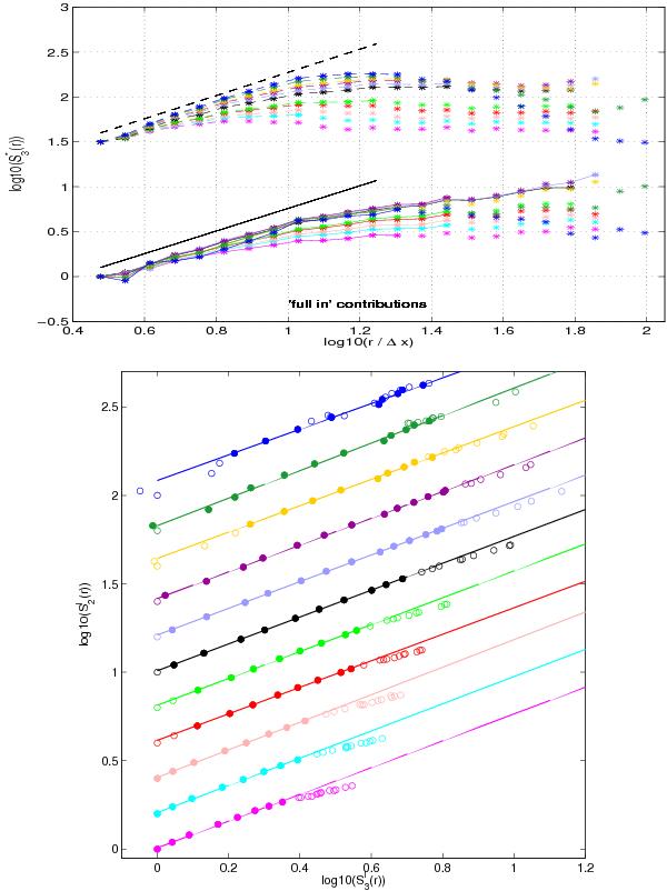
Fig. 10

thumbnail

“Full in” case for simulations R*_2 at  ≈ 12, color coding as in Fig. 2. Top panel: structure functions (upper curves) and (lower curves), curves vertically shifted to start from one common point. Stars connected by lines indicate data used to determine ESS scaling exponents. Also indicated are slopes and as obtained by Kritsuk et al. (2007a) for 3D periodic box simulations. Bottom panel: fit (solid lines) of ESS scaling exponent as slope of versus . Filled symbols denote data used for the fit, empty symbols denote all data available.

This figure is made of several images, please see below:

Current usage metrics show cumulative count of Article Views (full-text article views including HTML views, PDF and ePub downloads, according to the available data) and Abstracts Views on Vision4Press platform.

Data correspond to usage on the plateform after 2015. The current usage metrics is available 48-96 hours after online publication and is updated daily on week days.

Initial download of the metrics may take a while.