Free Access

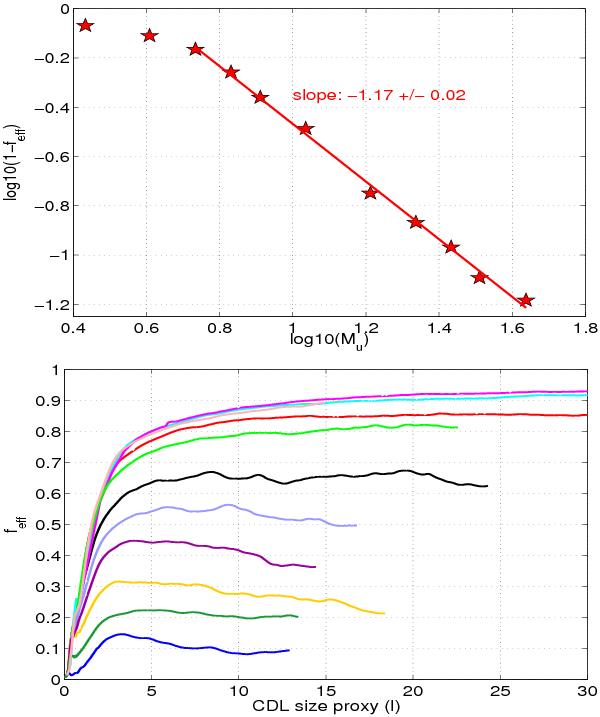
Fig. 3

thumbnail

Driving efficiency of 3D slabs, same simulations and color coding as in Fig. 2. Top panel: comparison of numerical results with expected scaling relation β3log 10(Mu) ∝ log 10(1 − feff). Each star denotes the maximum driving efficiency of one simulation. Bottom panel: evolution of feff as function of CDL size.

This figure is made of several images, please see below:

Current usage metrics show cumulative count of Article Views (full-text article views including HTML views, PDF and ePub downloads, according to the available data) and Abstracts Views on Vision4Press platform.

Data correspond to usage on the plateform after 2015. The current usage metrics is available 48-96 hours after online publication and is updated daily on week days.

Initial download of the metrics may take a while.