Free Access

Fig. 5

thumbnail

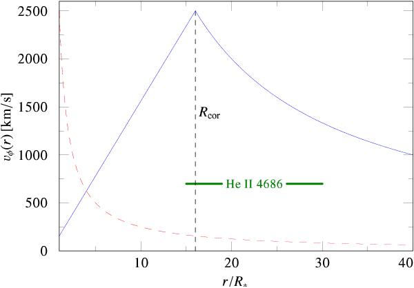
Equatorial rotational velocity as a function of r. Both curves correspond to vcor = 2500  km s-1. However, the dashed red curve is plotted with Rcor = R, while the solid blue curve is plotted with Rcor = 16   R. We also denote an estimate of the LFR of the line He iiλ4686, determined by its corresponding ξ plot. Note that the LFR remains unaffected by rotation unless large co-rotation radii are assumed.

Current usage metrics show cumulative count of Article Views (full-text article views including HTML views, PDF and ePub downloads, according to the available data) and Abstracts Views on Vision4Press platform.

Data correspond to usage on the plateform after 2015. The current usage metrics is available 48-96 hours after online publication and is updated daily on week days.

Initial download of the metrics may take a while.