Free Access

Fig. 5

thumbnail

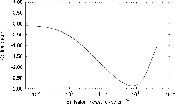
Dependence of τ4.8(max) on the emission measure for the case when collisions and the dust radiation field are ignored. The H2 density used in this case was 105  cm-3.

Current usage metrics show cumulative count of Article Views (full-text article views including HTML views, PDF and ePub downloads, according to the available data) and Abstracts Views on Vision4Press platform.

Data correspond to usage on the plateform after 2015. The current usage metrics is available 48-96 hours after online publication and is updated daily on week days.

Initial download of the metrics may take a while.