Free Access

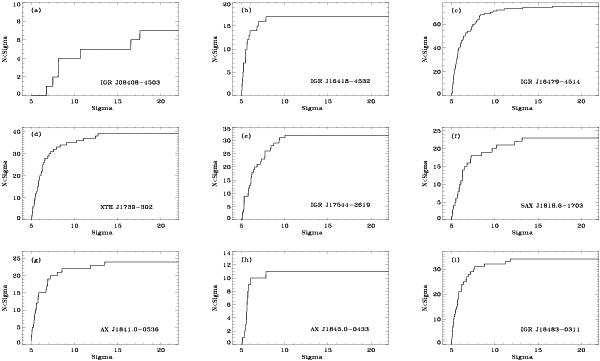
Fig. 7

thumbnail

Cumulative distributions of σ for BATTM orbital detections (corresponding to (o) in Figs. 5 and 6) for our 100 months of data collected with BAT. We note that 5σ detections for an average orbit correspond to 1.46 × 10-9 erg cm-2 s-1 in the 15–150 keV band (8.24 × 10-10 erg cm-2 s-1, 15–50 keV). We also note that the typical duration for an average orbit is 800 s for our sample.

Current usage metrics show cumulative count of Article Views (full-text article views including HTML views, PDF and ePub downloads, according to the available data) and Abstracts Views on Vision4Press platform.

Data correspond to usage on the plateform after 2015. The current usage metrics is available 48-96 hours after online publication and is updated daily on week days.

Initial download of the metrics may take a while.