Free Access

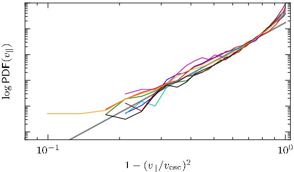
Fig. 3

thumbnail

Same as the top bundle of lines in Fig. 2 but plotted as a function of . If the data follows the velocity DF proposed by S07 (gray line), the data should form a straight line in this representation.

Current usage metrics show cumulative count of Article Views (full-text article views including HTML views, PDF and ePub downloads, according to the available data) and Abstracts Views on Vision4Press platform.

Data correspond to usage on the plateform after 2015. The current usage metrics is available 48-96 hours after online publication and is updated daily on week days.

Initial download of the metrics may take a while.